Вычисление предела дробно-рациональной функции
Чтобы найти предел дробной рациональной функции
при
, необходимо подставить предельное значение аргумента
в данную функцию.
Если при этом знаменатель отличен от нуля, то пределом будет частное:
.
Если числитель имеет предел А, отличный от нуля, а знаменатель стремится
к нулю, то пределом функции будет бесконечность:
.
Если числитель и знаменатель данной функции при
есть величины бесконечно малые
, то для того, чтобы найти предел, необходимо предварительно преобразовать данное выражение: многочлены:
и
надо разложить на множители и затем сократить на множитель
.
Пример 1. Найти предел функции
.
Здесь знаменатель дробной рациональной функции при
отличен от нуля. Поэтому, заменив аргумент
его предельным значением, получим
.
Пример 2. Найти предел функции
.
При
знаменатель отличен от нуля, а числитель есть величина бесконечно малая. Поэтому частное от деления бесконечно малой величины на переменную, имеющую конечный предел, тоже величина бесконечно малая, т.е. предел дроби равен нулю:
.
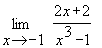
Пример 3. Найти предел функции
.
Здесь знаменатель дроби при
равен нулю, а числитель отличен от нуля, поэтому дробь является бесконечно большой:
.
Пример 4. Найти предел функции
.
При
и числитель и знаменатель дроби обращаются в нуль и получается неопределенное выражение вида
.
Чтобы раскрыть эту неопределенность, необходимо предварительно преобразовать данное выражение следующим образом:
,
т.е. разложить на множители числитель и сократить на общий множитель
:
т.о.
.
Чтобы найти предел дробной рациональной функции
при
, необходимо подставить
в числитель и знаменатель дроби.
Если при этом получится неопределенное выражение вида
, то необходимо числитель и знаменатель дроби разделить на
, где
-
наивысшая степень многочленов
и
.
Пример 5. Найти предел
.
Разделив числитель и знаменатель на
, получим:

.